It took me a while to solve this problem. More than expected in fact.
I was able to run the problem since the beginning but the values were too away from what I expected and I thought the problem was related to something behind Icofoam ... not the code, far from that ... but, my problem setting.
The values were wrong due to two things a coarse mesh and , I believe, floating number precision. I had to produce a finer mesh to see the actual results and increase the tool's length. I came with the following conclusion: we need to evaluate how the tool's length is going to affect the results previously. Took me a while to simulate everything.
This steady, laminar flow with Newtonian fluid has an analytical solution and can be easily derived from Navier-Stokes equations. Obs: For this time I will not consider the gravity.
Velocity profile is given by the following equation:
And the pressure drop on an annular section of length
l would be:
Where:
p → pressure
ρ → density
ν → kinematic viscosity
ro → outer wall radius
ri → inner wall radius
vm → average annular velocity
All units are in SI.
From the dimensions in
http://chasingaftermystuff.blogspot.com.br/2013/04/creating-mesh.html we will change the tool's length to 10m ,
ν = 7.27e-5 m
2/s,
ρ = 1.10e+3 kg/m
3 and
vm = 1.66 m/s we will have a Reynolds number of 1159 and we can safely assume that the flow is laminar. So,
Δp/ρ is assumed to be 22.43 m
2/s
2,
Δp = 24.67 kPa.
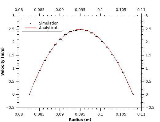
We have the pressure drop and the velocity profile. Taking the results from the simulation we can see the values agree with minor error (we still have space to increase the mesh definition). You can see that in the graphics the "no-slip" condition on the walls are obeyed.
 |
| Pressure divided by density |
 |
| Velocity magnitude contour |
 |
| Velocity vector over velocity contour |
 |
| Velocity plot against cells. |
For a next post I will compare simulated velocity plots against its analytical solution and solve another exercise.